優質的服務流程
· quality of service processes ·

需求溝通傾聽客戶需求,了解用戶使用環境和現場工況
方案設計根據現場實際工況,針對性出具解決方案
合同簽訂技術和商務規范確認,簽訂合作協議
產品制作選擇最優質的元器件,嚴格按照技術協議
調試安裝現場規范安裝,靜態動態調試,分析儀運行
售后服務后續維護,持續跟進,終身維修

全國熱線
銷售熱線
公司地址山東濟南市槐蔭區太平河南路1567號均和云谷濟南匯智港6號樓
濕度對cems煙氣在線監測系統的影響
目前,CEMS主要為完全抽取式和稀釋法測量兩種方式,主要監測參數為SO2、NOx、顆粒物濃度及煙氣參數O2、溫度、壓力、流速和濕度,HJ/T75-2007中要求CEMS數據為手工輸入或者實時測量,而HJ75-2017中明確CEMS中必須監測濕度參數,說明濕度監測的重要性,下面結合HJ75、76-2017標準和監測數據分析濕度對CEMS監測數據的影響。
1、超低排放冷干法CEMS中樣氣濕度對污染物濃度及儀器零點形成漂移。冷干法CEMS中SO2/NOx測量時樣氣經過預處理,已經將煙氣中的大部分水分進行去除,HJ76-2017要求除濕設備出口煙氣露點溫度≤4℃,并對除濕設備脫水率和SO2組分丟失率進行了要求,實際使用中發現超低排放冷干法CEMS中使用非分散紅外吸收法分析儀的,零點校準采用空氣作為零點氣進行校準的,受校準空氣中濕度影響零點會產生幾毫克每立方米的漂移,造成監測數據產生誤差;在超低排放中紅外分析儀對零點校準氣及樣氣進行濕度處理是數據準確的關鍵影響因素。
2、濕度數據影響污染物濃度換算。熱濕法和稀釋法CEMS由于樣氣中的水分未予以處理或
處理不徹底,監測的SO2/NOx濃度為濕基濃度,需要根據監測的煙氣濕度進行換算,換算為干基濃度,計算公式如下:

假設排放SO2濕基測量濃度20mg/m3,CEMS濕度采用抽取方式進行監測,監測數據在8%左右,其換算后的SO2干基濃度=20/(1-8%)=21.7mg/m3,采用抽取式干濕球法進行濕度測試濕度數據6%,滿足誤差≤±25%的要求,如果以6%的濕度進行干濕基換算,SO2干基濃度=20/(1-6%)=21.3mg/m3;采用將濕度傳感器插入煙道內進行濕度測試,測試濕度數據為10%,同樣滿足誤差≤±25%的要求,如果以10%的濕度進行干濕基換算,SO2干基濃度=20/(1-10%)=22.2
mg/m3;即濕度在6%和10%時SO2干基濃度相差0.9mg/m3,濕度越高折算后的干基濃度越高。
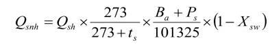
3、濕度監測數據影響標干流量數據。煙氣標干流量計算中需要溫度、壓力和濕度進行折
標計算,計算公式如下:

假設企業排放工況流量、溫度和壓力不變,CEMS濕度采用抽取方式進行監測,監測數在8%
左右,其換算后的標干流量=Qsh*(1-8%)=0.92Qsh,采用抽取式干濕球法進行濕度測試濕度數據6%,滿足誤差≤±25%的要求,如果以6%的濕度進行折標計算,標干流量=Qsh*(1-6%)
=0.94Qsh;采用將濕度傳感器插入煙道內進行濕度測試,測試濕度數據為10%,同樣滿足誤差≤±25%的要求,如果以10%的濕度進行折標計算,標干流量=Qsh*(1-10%)=0.9Qsh;即濕度越高折算后的標干流量越低。
4、冷干法CEMS采樣管線入口加裝磷酸滴定,采樣管線出口測量濕度的,存在涉嫌故意干擾濕度監測,減少監測污染物排放量,規避環保稅的風險。冷干法CEMS測量的SO2/NOx數據為干基濃度,不需要進行干濕基換算,采樣管線入口加裝磷酸滴定,滴定的磷酸中大部分為水,經采樣管線加熱后增加了樣氣中的濕度,采樣管線出口測量濕度數據較實際煙氣中濕度數據偏高,造成煙氣標干流量數據較實際濕度下的標干煙氣流量偏低,通過污染物濃度和標干流量計算的排放量較實際情況下偏低,以在線數據為依據進行申報環保稅時,存在少申報環保稅的嫌疑。
5、熱濕法和稀釋法CEMS采用抽取或稀釋后測量濕度,易形成濕度損失,造成濕度數據偏低,污染物干基濃度偏低,比對監測污染物濃度誤差變大,形成監測數據失真的嫌疑。
山東新澤儀器有限公司研發的煙氣在線監測系統,采用二級冷凝快速除水、降溫,減少氣、水接觸時間,降低 SO2 損耗,配置樣氣濕度報警裝置,保護分析器不被水分污染。采樣探頭運用多級粉塵過濾技術與定時反吹相結合,有效解決探頭易堵塞的難題,適應高塵、高濕、高溫、高腐蝕性等惡劣環境;lm


需求溝通傾聽客戶需求,了解用戶使用環境和現場工況
方案設計根據現場實際工況,針對性出具解決方案
合同簽訂技術和商務規范確認,簽訂合作協議
產品制作選擇最優質的元器件,嚴格按照技術協議
調試安裝現場規范安裝,靜態動態調試,分析儀運行
售后服務后續維護,持續跟進,終身維修